394. Carnegie Global Plus: indexfonden som bör slå index och ge dig en högre pension!

Tack @Preppern för ett välskrivet inlägget. Håller med dig.

@Emil_N har du en tanke kring ovan fråga?

@Emil_N - vad tänker du i denna i form av risk-reward för oss som investerare i fonden?

Kan vi hjälpas åt här @RobertK, @zino, @Andre_Granstrom?

Min spontana tanke (kvalificerad gissning, har ej räknat) är:

  • Egen belåning utanför tjänstepension med t.ex. Avanza Superlånet eller Nordnets variant på lägsta räntorna (just nu 1.99% på Nivå 1) på en vanlig globalfond - bäst.
  • Egen belåning utanför tjänstepension med egen säkerhet i boende (dvs. när Avanza-räntan blir 4.94% så är det ju bätre med boränta på 3%).

Därefter vågar jag inte ranka dem. :see_no_evil:

2 gillningar

För att rangordna dem skulle vi behöva gissa på framtida volatilitet och avkastning, vilket inte är lätt. De följer även inte riktigt samma index :slight_smile:

Men såhär tänker jag:
Om man tror på hög avkastning framåt och relativt låg realiserad volatilitet så är högre hävstång bättre.

Om man tror på låg avkastning framåt och relativt hög realiserad volatilitet så är lägre hävstång bättre.

I mitt barnspar har jag kombinerat en “vanlig” indexfond med lite Avanza Auto 6 och lite Carnegie Global Plus.

Hade jag använt Nordnet som plattform för Barnsparet hade jag bara bytt ut Avanza Auto 6 mot Nordnet 125.

Absolut men för att gissa lite bättre är väl en ganska god ansatts att titta på volatilitet och avkastning de senaste 5, 10, 15, 20 och 30 åren för en rad index, framförallt det som fonden följer där det är möjligt.

Jag gissar att det är precis det som både Avanza, Nordnet och Carnegie gjort men trots det verkar de landat i olika slutsatser med tanke på att de valt olika nivå på hävstängerna. I och för sig följer de olika index som du skriver vilket kan vara en av anledningarna även om jag är osäker på om det är hela sanningen.

Hade därför varit intressant att höra dessa antaganden och resonemang från t.ex @Emil_N

1 gillning

Om man jämför ovan graf med den nedre så ser man en väldigt viktig skillnad. Ovan ligger den simulerade avkastningen för Global Plus A alltid över jämförelseindex.

Det ser vi inte i den historiska avkastningen från Bull nedan, som endast överavkastar vid trendande marknader för att sedan återgå till indexnivå vid varje större nedgång. Nu är inte 10 år jättelång tid men ändå… vad är det som säger att denna fond kommer att klara sig bättre och matcha den övre bilden och inte den nedre?

4 gillningar

Lite OT, men vill bara ge kred till alla som deltar i diskussionen.

Även om man inte sätter sig in själva matematiken så är det ändå intressant att få mer inblick i hur många olika delar som påverkar avkastningen.

Bra av @Emil_N att ta sig tid att svara också, oavsett vad man tycker om produkten så ger det förtroende för Carnegie att man är transparant och öppen med hur produkterna funkar. Lite som Captor-gänget och deras räntefonder.

:clap:

10 gillningar

Kollade själv snabbt nu. Ser inte ut som Nordnet Global 125 gått speciellt bra i jämförelse med fonder utan hävstång, här i jämförelse med LF global. Ca 39 vs 38 % hittills. Liknar din jämförelse @Robertk

Dock väldigt kort period att titta på.

2 gillningar

Jag gillar konceptet med fonder som har inbyggd hävstång, men själva belåningen känns dyr så hoppas det dyker upp konkurrenter som driver ner avgifterna. Sedan finns ju alltid risken att fonden lägger ner, naturligtvis med maximalt dålig timing.

3 gillningar

Om man ska ta hävstångsprodukter i försvar så bör man nämna månadssparandets positiva effekt på avkastningen. Månadssparande ger en positiv “ombalanseringseffekt” genom att dämpa nedgångarna, vilket minskar urholkningen och ökar geometriska avkastningen.

Ju större ens månadssparande är relativt till ens portfölj, ju mer positiv “ombalanseringseffekt” får man vid nedgångar och ju större hävstång kan man ha.

Detta går hand i hand med diagrammet som @janbolmeson postade någon gång.

Matematiskt talat bör man ha som högst hävstång i början av sparkarriären eftersom ens sparhorisont då är som längst och ens månadssparande är som störst relativt till portföljen.


Vi kan också simulera hur mycket månadssparandet kan påverka avkastningen.

Låt oss säga att vi investerade $10,000 i ett par olika aktiefonder precis innan covid-kraschen. Vi gör månadsinsättningar på $1000 varje månad (inflationsjusterat).

Fonderna:

  • Vanguard 500 Index Investor = Amerikanska börsen utan hävstång
  • US Market 1.5x = Amerikanska börsen med 1.5x hävstång och 3.5% räntekostnad
  • Euro Stocks 1.5x = Europeiska börsen med 1.5x hävstång och 3.5% räntekostnad

Avkastningen:

  • Time-Weighted Rate of Return (TWRR) = Fondens utveckling utan påverkan av månadsinsättningarna

  • Money-Weighted Rate of Return (MWRR) = Fondens utveckling med månadsinsättningarnas positiva “ombalanseringseffekt”

“Ombalanseringseffekten” av månadsinsättningarna:

  • Vanguard 500 Index Investor: +1,59%-enheter per år
  • US Market 1.5x: +2,68%-enheter per år
  • Euro Stocks 1.5x: +3,04%-enheter per år

Jag inkluderade europeiska marknaden för USA har gått så extremt bra senaste åren, vilket gynnat hävstångsprodukter.

Europeiska marknaden har inte gått så bra och därför inte riktigt gynnats av hävstång, men vi kan se att månadssparande hjälpte mycket.

Vi kan också se att hävstångsfonderna gynnas mer av månadssparande än fonden utan hävstång.
Detta för att de mer volatila tillgångarna har mer urholkning, men månadssparande (eller ombalansering) hjälper till att minska den urholkningen, vilket ökar deras geometriska snittavkastning.

7 gillningar

Tack för svar @Emil_N! Jag tycker att fonden är intressant på ett teoretiskt plan, för att testa min förståelse av volatilitet och urholkning i en faktisk produkt. Det gläder mig att höra att du ska återkomma avseende mina påpekanden, försök gärna ändra min uppfattning!

Det jag påstår är ju i grunden ingenting kontroversiellt (och ingenting jag har kommit på själv) - utan helt enkelt att urholkning av geometrisk avkastning (CAGR) i ett värdepapper är proportionell mot volatiliteten^2.

Det går alltså inte att göra det förenklade antagandet att multiplicera den geometriska riskpremien med hävstången, och jämföra det med avgiften. I mitt exempel visar jag ju att med vedertagna antaganden så blir förväntad avkastning de facto lägre än en obelånad globalfond. Visa mig gärna var jag räknat fel!


Stort tack för härledningen, väldigt elegant! Känns dock viktigt att poängtera att denna approximation bara fungerar under trendande tidsperioder (vilket du också antar i ditt ursprungliga inlägg).

Vi kan alla vara överens om att hävstång är fantastiskt i positivt trendande marknader, men vi tycks vara oense om hur stor skada marknadsvolatilitet faktiskt gör.

Men Carnegie Bull har ju inte konsekvent överpresterat? Det är extremt beroende på vilken tidsperiod man tittar på. För att få lite längre historik kan vi titta på XACT BULL, som följer (nästan) samma index som Carnegie Bull och har samma hävstång på 1,5x:


Grön linje: XACT BULL.
Rosa linje: OMXS30GI (underliggande index).
Lila linje: Carnegie Bull (historik från 2015, bara för att visa nästintill perfekt korrelation).
OBS: Logaritmisk skala.

Vi ser att fram tills pandemin mars 2020 gav XACT BULL/Carnegie Bull ingen säker överavkastning, bara högre risk. Nästan all överavkastning kommer från perioden april 2020-nu, en period då aktier haft mer än dubbelt så hög riskjusterad avkastning som sitt historiska snitt. Tror vi att detta kommer bestå, eller är det mer rationellt att utgå ifrån historiska snitt i våra antaganden?

Enligt ovanstående resonemang:

  1. Det är en mycket kort tidsperiod.
  2. Nästan all överavkastning kommer från perioden april 2020-nu.
  3. Skalan är inte logaritmisk, vilket gör att de senaste årens överprestation syns mer.
  4. Är avgiften för Carnegie Global Plus inräknad?
  5. Årtalen är förskjutna ett steg framåt…

Detta är det felaktiga antagandet. (Håller inte heller med om antagande 3, men det är off-topic.)

Det är ganska uppenbart att det finns en gräns för när belåning gör mer skada än nytta - du skulle väl aldrig köpa en global indexfond med 10x hävstång, även om avgiften var gratis? Gränsen beror i första hand på ökad volatilitet + avgifter, och frågan är alltid vid vilken punkt dessa gör mer skada än hävstången gör nytta.

Egentligen är jag inte ett fan av hävstångsfonder på aktier i allmänhet (äger inga själv), eftersom den riskjusterade avkastningen blir för låg för min smak. Men om jag var tvungen att ge min personliga åsikt, enligt samma resonemang och antaganden som mitt tidigare inlägg:

  1. Egen belåning.
  2. Nordnet 125.
  3. Avanza Auto 6.
  4. Obelånad globalfond.
  5. Carnegie Global Plus.

Något som slår allt ovanstående med hästlängder är dock att belåna en mer diversifierad portfölj med flera okorrelerade tillgångar och inte enbart aktier :slight_smile:

10 gillningar

Jag önskar också detta, men med risk att jag har fel, så tror jag inte att det går att göra en belåning som blir billigare än den amerikanska statsräntan. Det verkar ju i alla fall vara den lösning som alla fondbolag väljer - och jag gissar att det finns anledningar till det. Tror Emil sitter på facit här, annars kan jag kolla upp det.

Sedan killgissar jag att distributörer som Avanza tar 50% av fondavgiften som standard. Det vill säga att ponera att man har ett totalt förvaltat kapital om en miljard kronor, då blir en avgift mot oss kunder på 1 procent, varav 0.5% går till Avanza, så blir 0.5% till fondbolaget ca 5.000.000 kr. Det skulle jag säga knappt är break-even om man räknar löner på två personer, compliance och allt runt omkring.

Som jämförelse kan man säga att Lysa förvaltar 45 miljarder, har en intjäning på 0.2 - 0.3% i snitt och har precis nått break-even (de har med flit skippat distributörer som Avanza). Jag har för mig att PLUS Fonder inte heller går plus på sina fonder.

För tydlighetens skull: jag önskar och gillar också låga avgifter, men jag tror inte att det kommer att hända i närtid av ovanstående anledningar.

1 gillning

Rätt. Har uppdaterat mitt inlägg. :+1:

Haha, du menar typ en tråd med 1000+ inlägg? :joy:

Tack för dina bidrag i tråden @zino. Vidhåller dock att definitionen av mardröm skulle vara att föredra något för dig, @Emil_N och Daniel från Captor. :see_no_evil:

2 gillningar

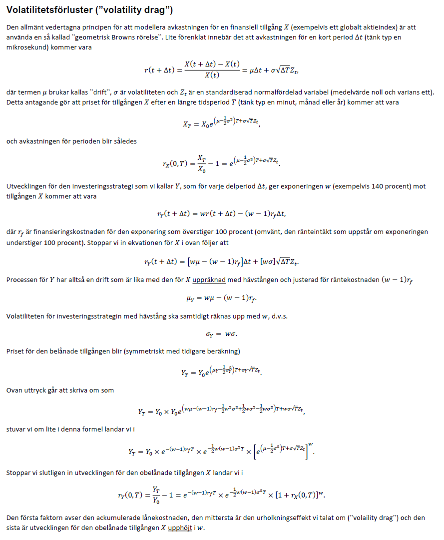
Volatilitetsförluster (svar)

För att avsluta den här arbetsveckan tänkte jag passa på att skriva några rader om volatilitetsrelaterade förluster och vinster. Frågan har tagits upp av bland annat @Preppern och @RobertK.

Nästa vecka är alla stockholmare på sportlov (jag kommer från Uppsala) så då kommer jag förhoppningsvis kunna svara lite snabbare på frågor från det här forumet än vad jag gjort hittills.

Volatilitetsrelaterade vinster och förluster gäller alla portföljer som justeras för att hålla konstanta vikter. Dessa är inte unika för produkter med hävstång. För att göra resonemanget som följer lite enklare tänker vi oss att den portfölj som ombalanseras för att hålla konstanta vikter bara består av två tillgångar. Tillgångarna kan vara vad som helst, men det mest naturliga valet är att låta de vara aktier och obligationer.

Tänk er en portfölj vars målsättning är att alltid ha andelen w investerat i aktier och den resterade delen, 1-w i obligationer. I en traditionell “60/40”-portfölj är andelen aktier 60 procent (d.v.s. w är 60%) och andelen obligationer är 40 procent (d.v.s. 1-w är 40%). Så fort marknaden rör sig kommer dessa andelar dock att ändras. Den tillgång som har gått bäst kommer att ha fått en högre vikt relativt den andra.

Vi kan exempelvis anta att aktier under någon period går upp med 10% och att utvecklingen för obligationer samtidigt är noll. Vikten för aktier i portföljen är nu 62.3 procent:

(1+10%)×60% / [ (1+10%)×60% + (1+0%)×40% ] = 62.3%

För att åtgärda detta behöver den tillgång som gått bäst säljas och den tillgång som gått sämst köpas. Om aktier har går bättre än obligationer kommer investeringsstrategin att sälja aktier och köpa obligationer. Om å andra sidan aktier har gått sämre än obligationer kommer investeringsstrategin att sälja aktier och köpa obligationer.

Investeringsstrategin kommer alltså hela tiden att sälja det som relativt sett är ”dyrast” och köpa den tillgång som relativt sett är ”billigast”. Att konsekvent handla på detta sätt kommer innbära att en vinst eftersom strategin ”köper billigt och säljer dyrt” och detta ger en ”volatilitetsvinst”.

För investeringsstrategin i Global Plus gäller att andelen aktier är 140 procent (d.v.s. w är 140%) och andelen obligationer är minus 40 procent (d.v.s. 1-w är -40%, aktieexponeringen är belånad). Så fort marknaden rör sig kommer dessa vikter dock att ändras.

Vi kan exempelvis igen anta att aktier under perioden gått upp med 10 procent och att utvecklingen för obligationer är noll. Vikten för aktier i portföljen är nu 135.1 procent:

(1+10%)×140% / [ (1+10%)×140% + (1+0%)×(-40%) ] = 135.1%

För att åtgärda detta behöver den tillgång som gått bäst köpas och den tillgång som gått sämst säljas. Om aktier har går bättre än obligationer kommer investeringsstrategin att köpa aktier och sälja obligationer (låna mer pengar). Om å andra sidan aktier har gått sämre än obligationer kommer investeringsstrategin att sälja aktier och köpa obligationer (återbetala lånet).

Investeringsstrategin kommer alltså hela tiden köpa den tillgång som relativt sett är ”billigast” och köpa den som är ”dyrast”. En strategi som handlar på detta sätt kommer konsekvent att förlora pengar eftersom den ”köper dyrt” och ”säljer billigt” och detta ger en “volatilitetsförlust”.

Om det kommer uppstå en volatilitetsförlust eller volatilitetsvinst beror på exponeringens storlek. För alla portföljer med en exponering w mellan 0 och 100 procent kommer strategin leda till en volatilitetvinst medan den
för för alla andra portföljer kommer ge en volatilitetsförlust.

Sambandet kvantifieras på det som jag tidigare kallade ”gammat” och som beräknas som -w×(w-1). Ju mer negativt gammat är, desto större blir volatilitetsförlusterna.

Om den realiserade volatiliteten är v kommer volatilitetsförlusterna (“VF”) i en strategi med exponeringen w per år att vara

VF = exp( -0.5×w×(w-1)×v^2 ) - 1.

För måttlig hävstång (och volatilitet) kan ovan uttryck approximeras med

VF = -0.5×w×(w-1)×v^2.

Om den realiserade volatiliteten är 15 procent och exponeringen 140 procent blir de förväntande volatilitetsförlusterna lika med 0.63 procent per år (till detta ska läggas trendavkastningen som alltid är positiv). Volatilitetsförlusterna i detta exempel approximeras alltså som

VF = -0.5×140%×40%×(15%)^2 = -0.63%.

Detta kan kanske uppfattas som mycket. Det är dock viktigt att förstå att magnituden är en helt annan än i exempelvis de produkter med exponeringen på 10 eller 20 gånger som förekommer i börhandlade produkter och som jag hänvisat till tidigare. Se tabell nedan.

Nedan följer en förenklad härledning av dessa volatilitetsförluster (det kallas ”volatility drag” (som @zino med flera korrekt kommenterat redan) i en investeringsstrategi med hävstången w. Jag har försökt göra beräkningarna så begripliga som möjligt och har avsiktligt gjort vissa förenklingar som en teoretisk matematiker sannolikt skulle ha invändningar på.

På temat passar jag också på att svara på frågan från ”Preppern” gällande skillnaden mellan daglig och månatlig omviktning. Det är en mycket klok fundering. Jag var för något år sedan själv tvungen att lägga lite tid på att reda ut detta efter att just samma fråga ställts av ett försäkringsbolag.

Svaret är att daglig omviktning historiskt, för den typ av “måttlig” hävstång som vi använder, varit bättre även om detta innebär en mer frekvent ombalasering. Det har inte att göra med att transaktionskostnaderna blir större utan beror, lite förenklat, på att den dagligt obalanserade strategin, i en aktiemarknad som går upp, kommer att ha högre genomsnittlig exponering mot marknaden och därmed bättre avkastning. Om jag kommer ihåg rätt är dock den historiska skillnaden i avkastning marginell och i storleksordningen 0.15 procent per år.

I Bull och Global Plus tillämpar vi en lite annorlunda ansats där vi tillåter exponeringen variera i ett spann som är 10 procentenheter brett. Vår slutsats (detta får bli vid behov bli föremål för ett ytterligare svar) är att fonderna genom detta reducerar såväl volatilitetsförluster som transaktionskostnader samtidigt som fonden effektivare kommer kunna hantera in- och utflöden.

5 gillningar

Jag måste också passa på att kommentera detta inlägg från @Marknadstajmarn som var väldigt bra.

Över en längre period kommer den ”effektiva” exponeringen mycket riktigt vara lägre än den dagliga exponeringen. Det är därför vi påstår att den långsiktiga överavkastningen i Carnegie Global Plus kommer vara en till två procentenheter relativt ett globalt aktieindex. Vi säger inte att utvecklingen kommer att vara 1.4 gånger så stor som utvecklingen för index.

Fördelen med den här typen av ”matematiska” fonder är att det är väldigt lite utrymme för godtycklighet. Utfallet är en funktion av indexutvecklingen, finansierngskostnaden och avgiften. Det går alltså att ganska enkelt beräkna vad utvecklingen för en fond med hävstång ska bli, se mitt föregående inlägg.

För att exemplifiera detta tittar vi inte på Carnegie Bull utan på XACT Bull. Skälet till detta är att Carnegie Bull har ändrat index i maj 2022 och att Carnegie Bull tillåter att exponeringen varierar med 10 procentenheter (vilket XACT Bull inte gör). För tydlighetens skull har Carnegie Bull inte gått sämre än XACT BulI och jag kan såklart visa motsvarande beräkning för Carnegie Bull om ni betvivlar detta.

Det jag vill visa är att vi baserat på utvecklingen för index, finansieringskostnaden och den realiserade volatiliteten i index kan beräkna ganska exakt vad utvecklingen för XACT Bull borde vara. Vi använder Carnegie Likviditetsfond som approximation för finansieringskostnaden. Grafen nedan visar utvecklingen för perioden.

Om vi baserat på ovan observationer räknar vi ut vad utvecklingen för XACT Bull borde vara sedan starten den 1 april 2014 till den 20 februari i år blir den 255.06 procent. Den faktiska utvecklingen var 254.40 procent. Skillnaden är 0.06 procentenheter per år och är sannolikt att härleda till transaktionskostnader och att fonden ”bara” ombalanseras dagligen. Se beräkningen i tabellen nedan.

Matematiken kanske ser konstig ut men det beror på att bidragen är multiplikativa och inte additiva. Det beräknade resultatet på 255.06% är lika med produkten av alla bidrag plus ett. Den produkten ska därefter reduceras med ett.

12 gillningar

Tack igen för att du tar dig tid. Men jag skulle önska att du bemötte några vissa saker mer konkret, samt anger källa/länk för de formler och härledningar som du presenterar, då kanske vi kan bena ut varför estimaten går isär.

Som redan är påpekat, denna formel är inte generellt applicerbar då den ger noll i förlust för 1x hävstång. Så den konkreta frågan är då, vad är det för “fel” på den formeln som verkar relativt vedertagen, ex:

Return Stacking and Volatility Drag - Return Stacked® Portfolio Solutions

Leveraged ETFs: The Hidden Costs of Volatility Drag - Aptus Capital Advisors

Sedan får du gärna kommentera den historiska avkastning för Carnegie/XACT Bull som på lång sikt uppvisar betydligt högre risk/volatitet utan tydlig överavkastning.

4 gillningar

Jag tror jag har hittat det. Den formel du anger som VF är i själva verket

skillnaden i (geometrisk) avkastning för en investering med hävstång kontra samma investering utan hävstång:


Averting Disaster: Leverage Limits for Single-Stock Leveraged ETFs

Vi ser att formel 6 är samma formel som du anger. Räknar vi ut volatilitetsförlusten för volatilitet 15% utan hävstång får vi

1.0x) -0.5 * v^2 = -1.13%

och lägger till det så får vi -1.13 - 0.63 = -1.76%. Lite närmare men fortfarande stor diff från den generella formeln:

1.4x) -0.5 * 1.4^2 * v^2 = -2.21%


TILLÄGG: Nu är det löst, matten stämmer: Formel 6 isolerar endast den extra volatilitetsförlusten för den geometriska överavkastningen som hävstången ger, därför måste volatilitetsförlusten för grundinvesteringen också multipliceras med hävstången.

-1.13 * 1.4 - 0.63 = -2.21%

Det tyder på att ex-ante beräkningen är korrekt, som visar att fonden med 0.95% avgift och 1% räntepremie på hävstången har en förväntad avkastning som är ungefär lika som en obelånad fond med 0.21% avgift men till högre risk.

4 gillningar

Vilken tråd…jag bara undrar mitt i allt detta skrivande och räknande:
vad hade effekten blivit i slutändan om man lade alla timmarna folk lägger här inne i forumet på räknande vad olika fonder ger, istället på att fokusera på hur man kan öka sina intäkter och/eller jobba med sånt som ger mer intäkter och placera detta överskottet i en vanlig indexfond. :slight_smile:

10 gillningar

@wayne, sluta… :joy:

3 gillningar
  1. Det ena behöver inte nödvändigtvis utesluta det andra.

  2. Det är roligt/stimulerande.

3 gillningar

Jo det förstår jag också :slight_smile:
Kanske mest avundsjuk att jag inte fattar något av alla matteformler ni skriver om, så jag ska återgå till mitt glas vin här. :slight_smile:

13 gillningar

Men bäst är om andra gör detta jobb samtidigt som du ökar dina intäkter och investerar det i de bästa fonderna som andra har kommit fram till.

Åk snålskjuts!

4 gillningar