I avsnitt 209 pratas det om optimal belåning på olika marknader beräknad med Kelly kriteriet.
Finn det någon här som har använt Kelly kriteriet och kan visa hur man använder det för att beräkna optimal belåning för t.ex stockholmsbörsen eller ett globalindex?
Jag vet att det redan finns en tråd som heter optimal belåning men den diskuterar mer en känslomässig belåningsnivå. Jag söker en strikt matematisk belåningsnivå.
Lätt som en plätt
The Kelly Criterion: You Don’t Know the Half of It | CFA Institute Enterprising Investor
Hehe, solklart ![]()
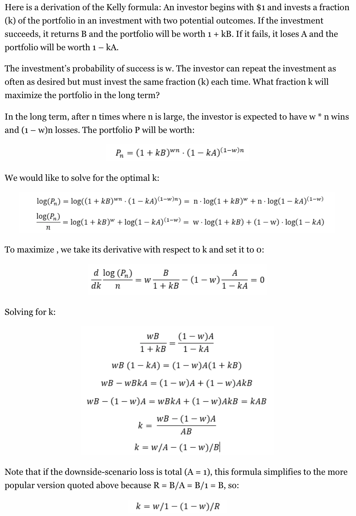
Jag hittade ett exempel på sidan 8 i den här uppsatsen. https://gupea.ub.gu.se/bitstream/2077/52960/1/gupea_2077_52960_1.pdf
(Tillgångens genomsnittliga avkastning - riskfri ränta) / tillgångens standardavvikelse^2
För stockholmsbörsen beräknad på de senaste 30 åren blir det då
Avkastning: 10,75%
Stv: 0,2456
Riskfri ränta framöver: 0,5% (gissning)
(0,1075-0,005)/0,246^2= 1,69. Man ska ha 169% av portföljen i index.
Det skiljer sig mot vad som sas i avsnitt 209 där det nämndes att optimal belåning troligen var 1,2 till 1,3.
Men det verkar vara lite oenighet om hur kellykriteriet ska användas på aktietillgångar.
Edit: Missat en nolla i 0,5% så även i uträkningen.
Kan inget om Kelly kriteriet men en såg att du missade en nolla i 0.005. 
Använder jag din formel och dina antaganden får jag det till 1.69.
Bra att du är uppmärksam!
Jag hade missat det även när jag slog det på räknaren.
Rekommenderar den här boken, bla Ed Thorp som vart med och skrivit den. Kelly fungerar som standard ej speciellt bra, pga skew och ej normalfördelning av avkastning, risk och utfall.
“There are ways to reduce this risk at the cost of lower expected final wealth using fractional Kelly strategies that blend the Kelly suggested wager with cash”
Jag minns ej hur fraktionen beräknades, men det bör gå att googla sig fram till. I boken, med deras förslag, landar man på ca 1,17 på ett globalt index (om jag minns rätt, år sen jag läste den). Det beror självklart även på vilka värden man stoppar in, vi hade en något mer volatil marknad då än vi haft sedan 2017 (VIX under 9 liksom).
Den boken finns att ladda ner här om man tycker det är ok. Man fildelar inte så det är inte olagligt att ladda ner.
https://www.pdfdrive.com/
Jag är imponerad av att du lyckats ta dig igenom den ökentorra boken fylld av matematik och spelteori.
Haha ja, den var inte den lättaste läsningen
inget jag skulle läsa om, den är bra och fylld med info, men räcker en gång
Stötte på den här sammanfattningen. Jag tyckte det var solklart så som de beskrev det.
Ränta på ränta driver upp medelvärdet i förhållande till det mest sannolika utfallet. För att kompensera för det satsar man bara en viss andel av sitt kapital. Hur stor andelen bör vara beräknas med Kelly-kriteriet.
Som jag förstår det (mha Chat GPT, så ta det med en nypa salt) brukar man ta avkastning genom volatilitet i kvadrat, vilket för en global aktieindexfond blir mer än ett (t.ex 0,07/(0,2^2)=1,75. Man ska alltså belåna sin portfölj och ha rejäl risk. Men i praktiken brukar man tydligen halvera värdet, vilket då bara blir 87,5% aktier.
Oklart hur man kommit fram till att man ska just halvera siffran, men man hamnar isf precis där jag ligger; runt 90% aktier. Har inte hört avsnitt 209, men måste lyssna på det nu!
Jag trodde först att man skulle landa på den där klassiska fördelningen mellan aktier och räntor. 50/50 eller vad man brukar säga. Blev förvånad att Kelly-kriteriet gav så hög andel aktier.
