Ok min snabb matte är kanske inte så bra längre
jag tänkte så här: en minimi lön för en vuxen är väl ca 25 ? Dvs 300kSEK / år. Enligt M finns många som har högre bidrag än de skulle kunna lönearbeta för. Dvs bidrag på 300kSEK+. För att ha en avkastning på 3.25% som genererar detta fick jag över 9 MSEK i portfölj värde? Rätt nära iaf. Eller tänker jag fel en lördag morgon?
Vad jag förstått är exemplet man pratar om (M bland annat) 2 föräldrar med minst 4 barn där båda är bidragstagare och endast 1 blir erbjuden ett jobb för 20,000 kr / månad (dvs väldigt låg lön). Då tjänar man inget på att endast en person jobbar. Däremot om båda jobbar för 20,000 kr / månad så kan man räkna med cirka 5000 kr / månad extra. Vi pratar också om storleksordningen < 0.1% av Sveriges befolkning.
https://kit.se/arkiv/2018/05/30/109560/finns-det-bidragstagare-som-forlorar-pa-att-ta-ett-jobb/
Ok, för 20kSEK vid samma avkastning blir det då 7.3 MSEK i portföljvärde. Om räknar som minPension gör med 2.1% så blir det över 11 MSEK.
Dvs den som jobbar ihop till sitt eget liknande “bidrag” borde vara dollar miljonär, eller strax under.
Visst, om man tar de ytterst få extremfallen för de som får allra mest, gör ett väldigt pessimistiskt antagande om avkastning, och utgår från att man inte får tulla en millimeter på kapitalet, då kommer man precis upp i 1 MUSD…
Snarare huvudsakligen ett problem med för låga löner än att någon bidragstagare level något lökigt lyxliv bara för att man kan.
Löner beror ju på vilket värde man skapar, det kan inte styrande politiker påverka så mycket. De kan däremot påverka bidrag.
Eller hur tänker du att dessa långtidsarbetslösa ska kliva in på marknaden med högre löner ?
Du verkar bygga en halmdocka här. Jag har inte sagt att det är något politikerna nödvändigtvis kan lösa. Men att sänka bidrag när det redan är på relativ fattigdomsgräns, och sen försöka luska ut vem som verkligen förtjänar det (vilket såklart kostar extra pengar och byråkrati), är nog inte rätt väg att gå.
Om det finns arbetstillfällen som inte fylls på grund av för låga löner så borde ju marknaden höja lönerna för att kunna anställa någon eller hur? Det är kanske också så att bryggan mellan bidrag till lön bör ses över i just detta extremfall. Men även det kostar ju pengar…
Men skatten kan de ju påverka, sänka/ta bort skatten på låglönejobb skulle jag föredra att finansiera före bidrag.
Ja det är kanske ett alternativ. Men att göra systemet ännu mer progressivt än det redan är känns inte alls rättvist. Kan tänka mig andra problem om man inför en till “brytpunkt”. Om man sänker skatten överlag skulle det funka. Men då måste fler jobba helt enkelt.
Jag är nog mer inne på @Pellepennan 's linje. Sänk / ta bort / medelspröva bidragen. Då får man folk som ser att det lönar sig att jobba. De kan då bidra mer också. Win win.
Ja, men om man kan ta bidrag som överstiger den lön som kan skapa mervärde så går man miste om produktivitet när så sker. Man skapar en vilja att inte arbeta.
Man kan ju ta bort den brytpunkten som finns, jag förstår ärligt talat inte vad den tjänar till.
Om man fick drömma lite dock, skattefri inkomst till en viss nivå, sen platt skatt efter det.
Brytpunkten för statlig skatt är väl satt så att de med högst intjäning står för kostnaden för statlig budget. De som tjänar mist slipper betala för det. Håller med. Konstig logik egentligen
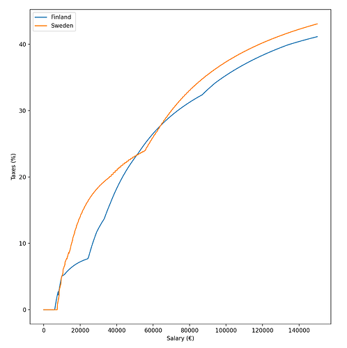
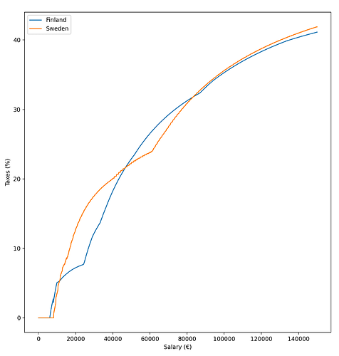
är det samma i Finland?
Bidragen är redan medelsprövade och kräver att man tar jobb om möjligt så för den överväldigande majoriteten är detta redan sant. Det vi tjafsar om är ju en väldigt liten minoritet av bidragstagare (silar mygg och allt det) där det i vissa extremfall inte lönar sig att ta ett jobb med lön på relativ fattigdomsnivå…
Nej, det finns inte en brytpunkt för statlig skatt, utan många, dvs progressiviteten är i princip “steglös”.
Kommunalskatten är en platt skatt, men mindre än i Sverige, t.ex. så är den 5,36% här i Esbo 2023.
Intressant. Så över 85-86kEUR har du 44%+5.36% ? Det är lite högre högsta gräns och lite lägre högsta skatt då jämfört med Sverige.
Sverige har väl i princip 20%+32% från 600kSEK. Tidigare ytterligare 5%!!!
Intervallet under vara bara 34% hos er då så det borde bli lite mer lönsamt att jobba i Finland helt klart
Lite förenklat kan man säga att låginkomsttagare skattas lägre i Finland, medelinkomsttagare hårdare, höginkomsttagare ungefär lika (nånstans runt 1Mkr/år börjar väl Sverige gå om, i alla fall historiskt, har inte räknat exakt på 2023 års siffror, de har gjort om lite och flyttat ansvar från kommunerna till staten, förra året var kommunalskatten 18% här, och statlig skatt lägre).
Men som du säger, progressiviteten är inte lika brant i slutet av kurvan, så tjäna den där sista tusingen blir mer lönsamt.
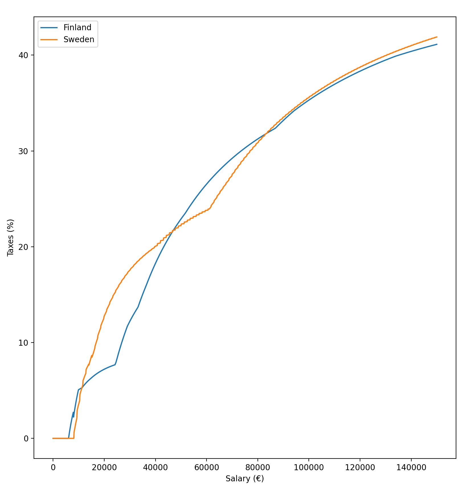
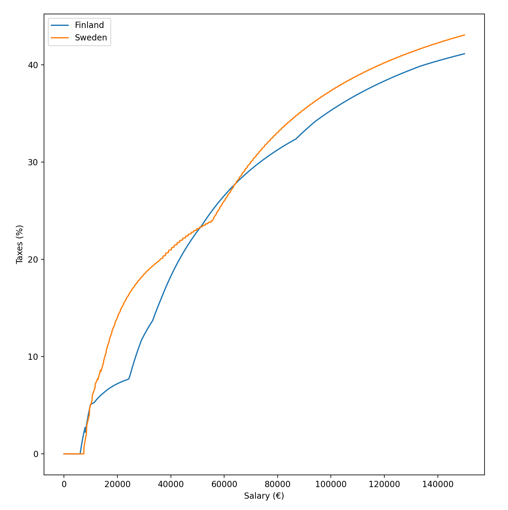
Edit: Satte mig ner och plottade ut kurvorna, verkar som den försvagade kronan förändrat relationen ganska mycket. Det här är kurvan med skatterna för 2023, med alla avdrag inräknade (om jag nu fått med de korrekt)
Ovanstående är räknat med en EUR/SEK kurs på 11.34, men skulle man räknat med kursen för ett år sen 10.30, får man ett helt annat förhållande
Var flyttade du från? Svensk som flyttade hem eller utlänning som flyttade hit?
Jasså det var han som omkom? Tråkigt att läsa, kommer ihåg att jag lyssnade på radio den dagen och de nämnde olyckan. Han var en person som hjälpte många tittare att få ordning på sin ekonomi och för oss som redan hade bra ekonomiskt beteende kändes det alltid som lättnad de gånger jag kollade programmet. Hans bästa avsnitt var nog när det var nån blåst reality “stjärna” med som inte visste vad ränta var 🫣🤦🏻.
För övrigt träffade jag Mr. Grimlund en gång. Jag jobbade i en restaurang medan jag pluggade och han var där med familjen. Beställde en räkmacka - jag frågade om han ville betala med kort, kontant eller sms-lån 
Det är förstås ett problem men ett ännu större problem är den organiserade kriminaliteten som systematiskt riktar jn sig på vårt välfärdssystem. Det sägs vara lättare att tjäna pengar på att utnyttja det än på narkotika. Och mer riskfritt.
Det kommer alltid att finnas människor som vill utnyttja systemet. Vad vi kan göra är att styra och reglera mer. Vi är och har varit naiva och lättlurade. I andra vågskålen ligger den personliga integriteten. Svår balansgång.
Tror tyvärr att det ligger mycket i detta. Kombinationen av generösa välfärdssystem och överbelastad polis och rättsväsen, mycket höga beviskrav för fällande domar, hot från kriminella mot tjänstemän, vittnen, nämndemän och domare (samt offentliga person- och adressuppgifter) gör Sverige utsatt.
“Den personliga integriteten” används alldeles för ofta som argument mot ökad kontroll, utan att man diskuterar för och emot, var balansen behöver ligga. Med så mycket fusk/bedrägeri med välfärd och kriminalitet så kan inte “den personliga integriteten” få väga så tungt som den har gjort så länge. Hårdare tag behövs och vi behöver ge upp lite på den personliga integriteten för att åstadkomma detta. Med rent mjöl i påsen har man inget att frukta.

